Data Visualization and Descriptive Stats

Bella Ratmelia

Today’s Outline

  1. Descriptive Statistics
  2. Data Visualization in ggplot using World Values Survey data, including guidelines on how to choose the appropriate visualization.

Checklist when you start RStudio

  • Load the project we created last session and open the R script file.
  • Make sure that Environment panel is empty (click on broom icon to clean it up)
  • Clear the Console and Plots too.
  • Re-run the library(tidyverse) and read_csv portion in the previous session

Refresher: Loading from CSV into a dataframe

Use read_csv from readr package (part of tidyverse) to load our data into a dataframe

# import tidyverse library
library(tidyverse)

# read the CSV with WVS data
wvs_cleaned <- read_csv("data-output/wvs_cleaned_v1.csv")

# Convert categorical variables to factors
columns_to_convert <- c("country", "religiousity", "sex", "marital_status", "employment")

wvs_cleaned <- wvs_cleaned |> 
    mutate(across(all_of(columns_to_convert), as_factor))

# peek at the data, pay attention to the data types!
glimpse(wvs_cleaned)

Recap: Descriptive Statistics

  • Univariate (i.e. single variable) Descriptive Stats

    • Measures of central tendency: mean(), median(), Mode()
    • Measures of Variability: min(), max(), range(), IQR(), sd() (standard deviation), var() (variance)
    • Distribution shape: skewness() and kurtosis() from moments library. This is easier to see with histogram
  • Bivariate (i.e. two variables) Descriptive Stats

    • Contingency table / cross tab (for categorical data)
    • Covariance - describe how two variables vary together
    • Correlation - describe relationship strength and direction in a sample. (If we want to use this to infer about a population from a sample, it would fall under inferential stats)
    • Visualizations e.g. Scatterplots, side-by-side boxplots, stacked bar charts, etc.

From last week: Basic R Functions for Descriptive Stats

Last week, we explored some basic R functions for descriptive statistics.

  • mean(): arithmetic average
  • median(): middle value
  • sd(): standard deviation
  • var(): variance
  • range(): range of values
  • IQR(): interquartile range
  • summary(): provides a summary of descriptive statistics
  • Mode() function from DescTools package: the most frequently occuring value 1

Univariate Descriptive Stats

Measures of Central Tendency

Let’s start by examining the age variable in our dataset.

library(DescTools)

# Basic statistics
mean_age <- mean(wvs_cleaned$age, na.rm = TRUE)
median_age <- median(wvs_cleaned$age, na.rm = TRUE)
mode_age <- DescTools::Mode(wvs_cleaned$age, na.rm = TRUE)

# Print results
cat("Mean age:", mean_age, "\n")
Mean age: 47.96408 
cat("Median age:", median_age, "\n")
Median age: 48 
cat("Most frequently occuring age:", mode_age, "\n") # this is here just for demo purposes
Most frequently occuring age: 54 

How we can interpret / report this:

“The age distribution of this sample is fairly symmetrical, as indicated by the very close mean (48 years) and median (48 years) values. The mode of 54 years suggests a slight right-skew in the age distribution, with a cluster of participants in their mid-50s.”

Measures of Variability or Dispersion

var_age <- var(wvs_cleaned$age, na.rm = TRUE)
sd_age <- sd(wvs_cleaned$age, na.rm = TRUE)
range_age <- range(wvs_cleaned$age, na.rm = TRUE)
iqr_age <- IQR(wvs_cleaned$age, na.rm = TRUE)

cat("Variance of age:", var_age, "\n")
Variance of age: 279.6066 
cat("Standard deviation of age:", sd_age, "\n")
Standard deviation of age: 16.72144 
cat("Range of age:", range_age[1], "to", range_age[2], "\n")
Range of age: 18 to 93 
cat("Interquartile range of age:", iqr_age, "\n")
Interquartile range of age: 28 

How we can interpret / report this:

“The age distribution of this sample is fairly wide spread. With a standard deviation of 16.72144, suggesting that most individuals’ ages deviate from the mean by approximately 16.72 years. The range of ages spans from 18 to 93 years, which covers a wide range of age groups within the sample. The interquartile range (IQR) of 28 years, which represents the middle 50% of the data, indicates a moderately wide distribution of ages in the central portion of the dataset.”

Distribution Shape

The function skewness() and kurtosis() is available through R package called moments. You may need to install it first before calling the library and its functions like in this code below.

library(moments)

skew_age <- skewness(wvs_cleaned$age, na.rm = TRUE)
kurtosis_age <- kurtosis(wvs_cleaned$age, na.rm = TRUE)

cat("Skewness of age:", skew_age, "\n")
Skewness of age: 0.1009475 
cat("Kurtosis of age:", kurtosis_age, "\n")
Kurtosis of age: 2.018238 

How we can interpret / report this:

“The age distribution has a very slight right skew (skewness = 0.10), meaning there are slightly more outliers toward older ages, but the skew is minimal since values between -0.5 and 0.5 are considered approximately symmetric. The kurtosis of 2.02 is lower than a normal distribution’s kurtosis of 3, indicating this distribution is platykurtic - it has lighter tails and is more uniform or”flatter” than a normal distribution.”

Visualizing with ggplot

  • Describing the spread and shape of distribution with just words is not very productive, so typically it is accompanied with visualization.

  • ggplot is plotting package that is included inside tidyverse package

  • works best with data in the long format, i.e., a column for all the dimensions/measures and another column for the value for each dimension/measure.

wvs_cleaned |> 
    ggplot(aes(x = age)) +
    geom_histogram(binwidth = 1, fill = "lightblue", color = "navy") +
    labs(title = "Age distribution of respondents",
         x = "Age",
         y = "Count") +
    theme_minimal()

Visualizing with ggplot

Anatomy of ggplot code

Charts built with ggplot must include the following:

1wvs_cleaned |>
2    ggplot(aes(x = age)) +
3    geom_histogram(binwidth = 1, fill = "lightblue", color = "navy") +
4    labs(title = "Age distribution of respondents",
         x = "Age",
         y = "Count") +
5    theme_minimal()
1
Data - the dataframe/tibble to visualize.
2
Aesthetic mappings (aes) - describes which variables are mapped to the x, y axes, alpha (transparency) and other visual aesthetics.
3
Geometric objects (geom) - describes how values are rendered; as bars, scatterplot, lines, etc.
4
Provide titles and labels to your graph
5
(Optional) apply a theme/look to your graph

Tip: open the ggplot cheatsheet

Tip

A strategy I’d like to recommend: briefly read over the ggplot2 documentation and have them open on a separate tab. Figure out the type of variables you need to visualize (discrete or continuous) to quickly identify which visualization would make sense.

ggplot documentation link

Going back to our univariate descriptive stats on age variable

Let’s visualize the variability with boxplot to get a better sense of the spread.

wvs_cleaned |> 
    ggplot(aes(x = age)) +
    geom_boxplot(fill = "lightblue", color = "navy") +
    labs(title = "Age distribution of respondents",
         x = "Age") +
    theme_minimal()

Going back to our univariate descriptive stats on age variable

Categorical Data - Frequency Distribution

  • The age variable is a numerical / continuous data. We can’t apply mean(), median() and other central tendency measures to categorical data such as age_group or employment_status. We can, however, visualize them.

  • When dealing with categorical data, first take note on whether you want to visualize the proportion or the frequency distribution.

  • Let’s visualize the frequency distribution of survey participants by country:

wvs_cleaned |> ggplot(aes(x = country, fill = country)) +
    geom_bar() +
    labs(title = "Participants by Country",
       x = "Country",
       y = "Participants") +
    theme_minimal()

Categorical Data - Frequency Distribution

Categorical Data - Proportion

When we want to show proportion (i.e. in terms of “parts of whole”), we must first quickly calculate the proportion with count()

Let’s create a new dataframe called wvs_country_proportion to hold this data.

wvs_country_proportion <- wvs_cleaned |> 
    group_by(country) |>
    summarize(n = n()) |> # count the number of participants each country
    mutate(proportion = n/sum(n)) # calculate proportion

print(wvs_country_proportion)
# A tibble: 3 × 3
  country     n proportion
  <fct>   <int>      <dbl>
1 CAN      4018      0.628
2 NZL       660      0.103
3 SGP      1725      0.269

Categorical Data - Proportion (cont’d)

And then, we use this proportion table to create a pie chart by adding coord_polar() layer after geom_bar() and some changes in aes() and geom_bar()

wvs_country_proportion |> ggplot(aes(x = "", y = proportion, fill = country)) +
    geom_bar(stat = "identity", width = 1) +
    coord_polar("y", start = 0) +
    labs(title = "Proportion of Participants by Country") +
    theme_minimal()

Categorical Data - Proportion (cont’d)

Learning Check 1A

Using the wvs_cleaned dataset:

Create a histogram that visualizes the distribution of financial_satisfaction

Show answer
wvs_cleaned |> ggplot(aes(x = financial_satisfaction)) +
  geom_histogram(fill = "steelblue", color = "white", binwidth = 1) +
  labs(title = "Distribution of Financial Satisfaction",
       x = "Financial Satisfaction",
       y = "Count") +
  theme_minimal()

Learning Check 1A

Learning Check 1B

Create a barchart that visualizes the frequency of religiousity

Show answer
wvs_cleaned |> ggplot(aes(x = religiousity, fill = religiousity)) +
  geom_bar() +
  labs(title = "Frequency of Religiosity",
       x = "Religiosity",
       y = "Count") +
  theme_minimal()

Learning Check 1B

Bivariate Descriptive Stats

Three Combinations in Bivariate Descriptive Stats

Bivariate descriptive statistics describe and summarize relationships between two variables in your dataset without making inferences about a larger population. They include numeric measures like correlation or covariance, and visualizations like scatterplots, side-by-side boxplots, or contingency tables.

Think of them as taking a snapshot of how two variables relate to each other in your current data.

Since data can be continuous or categorical, there can be three combinations when we deal with bivariate descriptive stats:

  1. Both categorical (e.g. age_group and country)
  2. Both continuous (e.g. financial_satisfaction and life_satisfaction)
  3. One continuous, one categorical (e.g. country and life_satisfaction)

Both categorical

  • Examine relationships between categorical variables

  • Look at joint distributions and proportions

  • Compare group compositions

First, let’s create a contingency table of age_group and country!

table(wvs_cleaned$age_group, wvs_cleaned$country)
       
         CAN  NZL  SGP
  18-28  712   27  246
  29-44 1232  119  511
  45-60 1061  222  550
  61+   1013  292  418

Both categorical (cont’d)

We can also create a proportion table just like we did earlier

wvs_cleaned |> 
  group_by(country, age_group) |> 
  summarise(n = n()) |> # count the frequency of participants by age group and country 
  mutate(prop = n/sum(n)) # calculate proportion
# A tibble: 12 × 4
# Groups:   country [3]
   country age_group     n   prop
   <fct>   <chr>     <int>  <dbl>
 1 CAN     18-28       712 0.177 
 2 CAN     29-44      1232 0.307 
 3 CAN     45-60      1061 0.264 
 4 CAN     61+        1013 0.252 
 5 NZL     18-28        27 0.0409
 6 NZL     29-44       119 0.180 
 7 NZL     45-60       222 0.336 
 8 NZL     61+         292 0.442 
 9 SGP     18-28       246 0.143 
10 SGP     29-44       511 0.296 
11 SGP     45-60       550 0.319 
12 SGP     61+         418 0.242 

Both categorical (cont’d)

For categorical data like this, we can use barchart to visualize the frequency distribution. Stacked bar chart can be used to visualize proportion.

wvs_cleaned |> ggplot(aes(x = country, fill = age_group)) +
  geom_bar(position = "dodge") + 
  labs(y = "Count", title = "Age Groups by Country") +
  theme_minimal()

Change position = "dodge" to position = "stack" to stack the bar chart

Both categorical (cont’d)

Both categorical (cont’d)

To get a better sense of the proportion for each country, we can use percent stacked bar chart.

The code is similar to previous bar charts; we just have to change the position argument to position = "fill"

wvs_cleaned |> ggplot(aes(x = country, fill = age_group)) +
  geom_bar(position = "fill") + 
  labs(y = "Proportion", title = "Age Groups by Country") +
  theme_minimal()

Both categorical (cont’d)

Both continuous

  • Examine linear relationships

  • Look for patterns and trends

  • Identify potential outliers

Let’s first examine the correlation between financial_satisfaction and life_satisfaction

cor(wvs_cleaned$financial_satisfaction, wvs_cleaned$life_satisfaction)
[1] 0.6420311

Both continuous (cont’d)

Let’s visualize the two variables together with a jitter / scatterplot!

wvs_cleaned |> ggplot(aes(x = financial_satisfaction, y = life_satisfaction)) +
  geom_jitter(alpha = 0.3) +
  geom_smooth(method = "lm") + # layer with geom_smooth
  labs(title = "Financial vs Life Satisfaction") +
  theme_minimal()

Both continuous (cont’d)

Correlation Plot

When there are more than two continuous variables to explore, correlation map is sometimes used. We can achieve this with ggplot, but it’s much easier to use the corrplot() function from the corrplot package.

Let’s visualize the correlation map for these three variables.

library(corrplot)

# select all the columns for correlation calculation, save it to columns_for_corr
columns_for_corr <- wvs_cleaned |> 
  select(financial_satisfaction, life_satisfaction, age)

# pass the columns_for_corr to cor() function, and save the result to cor_matrix
cor_matrix <- cor(columns_for_corr)

# visualize the cor_matrix with corrplot()!
corrplot(cor_matrix,
         method = "shade", # show the correlation strength as color shades
         addCoef.col = "black", tl.col = "black") # label the coefficients

Correlation Plot

Correlation Plot - shorter code

We can shorten the code in the previous slide using the maggritr pipe |> like so:

wvs_cleaned |> 
    select(financial_satisfaction, life_satisfaction, age) |> 
    cor() |> 
    corrplot(method = "shade", # show the correlation strength as color shades
         addCoef.col = "black", tl.col = "black")

Refresher:

Notice that we don’t have to pass the column names to cor() and corrplot() function. This is because the maggritr pipe |>, acts as a “conveyor belt” that take output from one step and then immediately feed it to the next step.

Correlation Plot - shorter code

One continuous, one categorical

  • Compare distributions across groups

  • Identify group differences

  • Examine spread within groups

Let’s do a recap from last week and get the summary stats for life_satisfaction for each country

wvs_cleaned |> 
  group_by(country) |> 
  summarise(
    mean_satisfaction = mean(life_satisfaction, na.rm = TRUE),
    median_satisfaction = median(life_satisfaction, na.rm = TRUE),
    sd_satisfaction = sd(life_satisfaction, na.rm = TRUE)
  )
# A tibble: 3 × 4
  country mean_satisfaction median_satisfaction sd_satisfaction
  <fct>               <dbl>               <dbl>           <dbl>
1 CAN                  7.04                   7            1.81
2 NZL                  7.60                   8            1.79
3 SGP                  7.06                   7            1.78

One continuous, one categorical (cont’d)

To get a better sense of how the data is varied and spread, let’s visualize them with a side-by-side boxplot

wvs_cleaned |> ggplot(aes(x = country, y = life_satisfaction)) +
  geom_boxplot() +
  labs(title = "Life Satisfaction by Country") +
  theme_minimal()

One continuous, one categorical (cont’d)

One continuous, one categorical (cont’d)

We could also layer our boxplots with violin plots to get a better sense of the distribution of each group.

wvs_cleaned |> ggplot(aes(x = country, y = life_satisfaction)) +
  geom_violin(fill = "lightblue", alpha = 0.5) +
  geom_boxplot(width = 0.1, fill = "white") +
  labs(title = "Life Satisfaction Distribution by Country") +
  theme_minimal()

One continuous, one categorical (cont’d)

How to save your images - ggsave

There are two ways to do this:

  1. Via ggsave

  2. The point-and-click way in RStudio

Below is the ggsave way:

# save the chart into an object instead of viewing it like we have been doing
boxplot_obj <- wvs_cleaned |> 
    ggplot(aes(x = age)) +
    geom_boxplot(fill = "lightblue", color = "navy") +
    labs(title = "Age distribution of respondents",
         x = "Age") +
    theme_minimal()

# pass the saved chart into ggsave and give it a filename
ggsave("fig-output/boxplot_1.jpg", boxplot_obj) 

How to save your images - point-and-click

Learning Check #2

Create a side-by-side boxplots that visualizes political_scale for each sex.

Show answer
wvs_cleaned |> ggplot(aes(x = political_scale, y = sex)) +
  geom_violin(fill = "lightblue", alpha = 0.5) +
  geom_boxplot(width = 0.1, fill = "white") +
  labs(title = "Political scale Distribution by Sex") +
  theme_minimal()

Using Facets for more complex visual

  • Compare patterns across multiple subgroups

  • Identify interaction effects

  • Maintain visual clarity with complex relationships

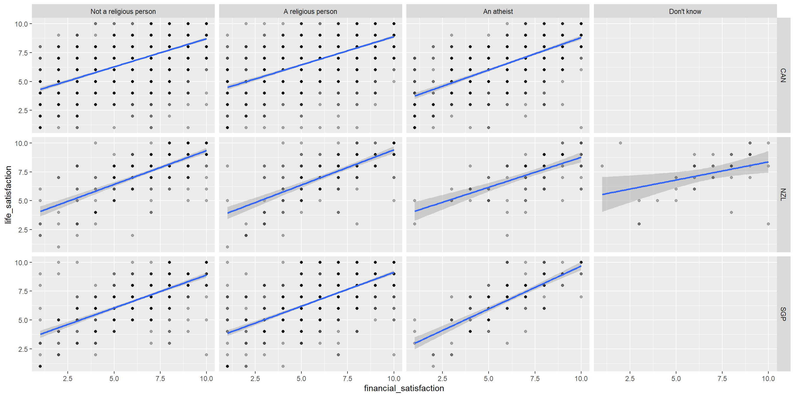
Facet grids are useful when we have more than two variables to visualize. However, if used excessively they may become too complex

wvs_cleaned |> ggplot(aes(x = financial_satisfaction, y = life_satisfaction)) +
  geom_point(alpha = 0.3) +
  geom_smooth(method = "lm") +
  facet_grid(country ~ religiousity)

Using Facets for more complex visual

Is fancier = better?

Fancier, more complicated visualization does not necessarily mean better!

Take a look at this award-winning visualization by Simon Scarr

End of Session 3!

Remember the strategy:

  1. Have the ggplot documentation/cheatsheet open
  2. Decide on how many variables are involved. Is it just one? two? more than two?
  3. Determine whether the variables are categorical or continuous. If you have more than one, are they both categorical? one categorical + one continuous?
  4. Refer to the documentation to see which type of visualization would make sense for your variables.

Check out the R Graph gallery for inspiration and code samples!

Next session: inferential stats in R using WVS data