Python libraries / packages
Introduction to Numpy (+ numpy-financial)
Getting started with visualizations with matplotlib
Today, we will cover the typical steps when doing data analysis projects. For this session, we will do simple time series analysis.
![]()
pandasis a fast, powerful, flexible and easy to use open source data analysis and manipulation tool, built on top of the Python programming language.pandasaims to be the fundamental high-level building block for doing practical, real world data analysis in Python. 1
| Feature | NumPy Array | pandas DataFrame |
|---|---|---|
| Data Types | All elements must be of the same type (e.g., integers, floats). | Different columns can hold different data types (e.g., integers, floats, strings). |
| Performance | Faster for numerical computations due to homogeneity and optimized implementation. | Slightly slower but more flexible for working with heterogeneous or labeled data. |
| Dimensionality | Can be multi-dimensional (1D, 2D, 3D, etc.). | Always two-dimensional with labeled rows and columns. |
| Indexing | Purely positional indexing (e.g., array[0, 1]). |
Labeled-based indexing (loc), position-based indexing (iloc), access by both labels and positions. |
| Usage | Primarily for high-performance numerical and scientific computations. | Primarily for data manipulation, analysis, and cleaning, especially for tabular and real-world datasets. |
To install this package, you can use this command:
pip install pandas
pip install seaborn
Remember, we must first import these packages to our notebook / script before we can use them.
Pandas Cheatsheet
Have this cheatsheet open on another tab as you work through your data: https://pandas.pydata.org/Pandas_Cheat_Sheet.pdf or https://python-graph-gallery.com/cheat-sheets/
Before we begin…
Right-click here to open unemployment-age.csv, and then Ctrl + S / Cmd + S to save it locally into your data folder
Typically, we load the data from API source (more on this next week!) or external data file such as CSV. Let’s load the unemployment-age.csv now!
date 16_19yrs 20_24yrs 25_54yrs 55yrs_onwards Unnamed: 5
0 1948-01-01 10.1 6.6 3.0 3.6 NaN
1 1948-02-01 11.5 8.0 3.6 4.0 NaN
2 1948-03-01 10.8 8.6 3.2 3.5 NaN
3 1948-04-01 8.8 6.8 3.2 3.2 NaN
4 1948-05-01 6.9 6.3 2.6 2.9 NaN
The first thing that you should always do is check on the dataframe to get an overview of it. The function info() will tell us the data types for each columns, the number of observations, and index info if there’s any.
<class 'pandas.core.frame.DataFrame'>
RangeIndex: 920 entries, 0 to 919
Data columns (total 6 columns):
# Column Non-Null Count Dtype
--- ------ -------------- -----
0 date 920 non-null object
1 16_19yrs 920 non-null float64
2 20_24yrs 920 non-null float64
3 25_54yrs 920 non-null float64
4 55yrs_onwards 920 non-null float64
5 Unnamed: 5 0 non-null float64
dtypes: float64(5), object(1)
memory usage: 43.3+ KB
Also get the summary statistics to get a sense of the shape and spread of your data.
| 16_19yrs | 20_24yrs | 25_54yrs | 55yrs_onwards | Unnamed: 5 | |
|---|---|---|---|---|---|
| count | 920.000000 | 920.000000 | 920.000000 | 920.00000 | 0.0 |
| mean | 15.913370 | 9.259674 | 4.560109 | 3.79837 | NaN |
| std | 4.270376 | 2.790013 | 1.585635 | 1.23832 | NaN |
| min | 5.700000 | 3.300000 | 1.800000 | 1.50000 | NaN |
| 25% | 13.000000 | 7.575000 | 3.400000 | 2.90000 | NaN |
| 50% | 15.600000 | 8.900000 | 4.300000 | 3.50000 | NaN |
| 75% | 18.400000 | 10.700000 | 5.500000 | 4.40000 | NaN |
| max | 32.200000 | 25.000000 | 12.600000 | 13.40000 | NaN |
Optional, but you may also want to check on the column names to see how it appears in our environment (useful if you happen to have non UTF-8 characters as your column names)
In some cases, we don’t really need the entire columns. Let’s drop the last column (that looks like an error in the CSV formatting).
Sometimes the column names are not ideal. In our case, let’s give a name to each age group!
unemp_data.columns = ['date', 'teenagers', 'young_adults', 'adults', 'seniors']
print(unemp_data.columns)Index(['date', 'teenagers', 'young_adults', 'adults', 'seniors'], dtype='object')
Alternatively, if you just want to rename specific columns:
Data preparation, analysis, and visualization tasks will be different depends on the dataset and your goal. Specifically for our data, we will do the following:
ya_unemp.high_ya_unemp.Other than info(), we can also use isnull() to check for null values
We can drop those rows that contains null values with dropna()…
<class 'pandas.core.frame.DataFrame'>
RangeIndex: 920 entries, 0 to 919
Data columns (total 5 columns):
# Column Non-Null Count Dtype
--- ------ -------------- -----
0 date 920 non-null object
1 teenagers 920 non-null float64
2 young_adults 920 non-null float64
3 adults 920 non-null float64
4 seniors 920 non-null float64
dtypes: float64(4), object(1)
memory usage: 36.1+ KB
None
… or we can also fill in the null values with something else, e.g. 0
As the column names in DataFrame are indexed, we can simply call them by their column names! (Much more intuitive compared to Numpy)
0 6.6
1 8.0
2 8.6
3 6.8
4 6.3
Name: young_adults, dtype: float64
Similarly, if we want to retrieve multiple columns, we can pass a list of column names to the dataframe and save these sliced columns into a new dataframe.
| date | young_adults | |
|---|---|---|
| 0 | 1948-01-01 | 6.6 |
| 1 | 1948-02-01 | 8.0 |
| 2 | 1948-03-01 | 8.6 |
| 3 | 1948-04-01 | 6.8 |
| 4 | 1948-05-01 | 6.3 |
We can do it “raw” or us the query function from pandas. Here is how you can do it without the query() function:
| date | teenagers | young_adults | adults | seniors | |
|---|---|---|---|---|---|
| 17 | 1949-06-01 | 19.0 | 10.1 | 4.4 | 4.9 |
| 18 | 1949-07-01 | 16.0 | 11.2 | 5.3 | 5.8 |
| 19 | 1949-08-01 | 12.6 | 10.4 | 5.0 | 5.3 |
| 24 | 1950-01-01 | 17.7 | 11.6 | 6.2 | 6.6 |
| 25 | 1950-02-01 | 17.3 | 12.2 | 6.4 | 7.0 |
And here is how you can do it with the query() function:
date teenagers young_adults adults seniors
17 1949-06-01 19.0 10.1 4.4 4.9
18 1949-07-01 16.0 11.2 5.3 5.8
19 1949-08-01 12.6 10.4 5.0 5.3
24 1950-01-01 17.7 11.6 6.2 6.6
25 1950-02-01 17.3 12.2 6.4 7.0
.. ... ... ... ... ...
873 2020-10-01 13.1 10.5 6.2 5.2
875 2020-12-01 14.1 10.6 5.7 5.8
876 2021-01-01 15.6 10.8 6.2 5.6
878 2021-03-01 12.5 10.4 5.7 4.8
880 2021-05-01 9.5 10.3 4.9 4.6
[311 rows x 5 columns]
Take note that the previous code will simply print out the result! If you want to save the result, make sure to assign the result to a new dataframe.
| date | teenagers | young_adults | adults | seniors | |
|---|---|---|---|---|---|
| 17 | 1949-06-01 | 19.0 | 10.1 | 4.4 | 4.9 |
| 18 | 1949-07-01 | 16.0 | 11.2 | 5.3 | 5.8 |
| 19 | 1949-08-01 | 12.6 | 10.4 | 5.0 | 5.3 |
| 24 | 1950-01-01 | 17.7 | 11.6 | 6.2 | 6.6 |
| 25 | 1950-02-01 | 17.3 | 12.2 | 6.4 | 7.0 |
Let’s add a new column for total unemployment (sum of all age groups)
unemp_data['total_unemployment'] = unemp_data['teenagers'] + unemp_data['young_adults'] + unemp_data['adults'] + unemp_data['seniors']
unemp_data.head()| date | teenagers | young_adults | adults | seniors | total_unemployment | |
|---|---|---|---|---|---|---|
| 0 | 1948-01-01 | 10.1 | 6.6 | 3.0 | 3.6 | 23.3 |
| 1 | 1948-02-01 | 11.5 | 8.0 | 3.6 | 4.0 | 27.1 |
| 2 | 1948-03-01 | 10.8 | 8.6 | 3.2 | 3.5 | 26.1 |
| 3 | 1948-04-01 | 8.8 | 6.8 | 3.2 | 3.2 | 22.0 |
| 4 | 1948-05-01 | 6.9 | 6.3 | 2.6 | 2.9 | 18.7 |
Retrieve data where the employment rate for adults are between 9 to 12 inclusive. Save only the date and adults column to a new dataframe called adult_unemp
DateTime object in Python, provided by the datetime module, represents a specific point in time, including the year, month, day, hour, minute, second, and microsecond.The DateTime object consists of multiple components that represent different parts of the date and time, such as year, month, day, hour, minute, second, etc. You can access these components individually.
# Extract year, month, and day from a specific date
now = datetime.now()
# Access individual components
print("Year:", now.year)
print("Month:", now.month)
print("Day:", now.day)
print("Hour:", now.hour)
print("Minute:", now.minute)
print("Second:", now.second)Year: 2024
Month: 10
Day: 10
Hour: 16
Minute: 36
Second: 39
timedelta.Let’s index the rows under date column as a DateTime index.
Let’s check on the dataframe once more, to make sure that it is indexed as intended:
<class 'pandas.core.frame.DataFrame'>
DatetimeIndex: 920 entries, 1948-01-01 to 2024-08-01
Data columns (total 5 columns):
# Column Non-Null Count Dtype
--- ------ -------------- -----
0 teenagers 920 non-null float64
1 young_adults 920 non-null float64
2 adults 920 non-null float64
3 seniors 920 non-null float64
4 total_unemployment 920 non-null float64
dtypes: float64(5)
memory usage: 43.1 KB
If all goes well, the date column should be part of the index now.
Other things that we may want to check with Time Series is the date range of our data.
Now that the index is a DateTime object, we can easily retrieve specific date range! Let’s say we would like retrieve unemployment rate for during COVID, which will be March 2020 to May 2023.
teenagers young_adults adults seniors total_unemployment
date
2020-03-01 13.7 8.6 3.9 3.5 29.7
2020-04-01 32.2 25.0 12.6 13.4 83.2
2020-05-01 30.7 23.2 11.2 11.5 76.6
2020-06-01 24.5 20.1 9.7 9.7 64.0
2020-07-01 19.1 18.2 9.3 9.0 55.6
With time series, we can calculate the quarterly average based on the monthly data with resample()
teenagers young_adults adults seniors total_unemployment
date
1948-03-31 10.800000 7.733333 3.266667 3.700000 25.500000
1948-06-30 9.700000 6.466667 2.733333 2.900000 21.800000
1948-09-30 8.933333 5.500000 2.766667 2.700000 19.900000
1948-12-31 7.066667 4.933333 2.600000 3.166667 17.766667
1949-03-31 12.033333 8.700000 4.366667 5.000000 30.100000
Let’s find out what is the highest unemployment rate for each year!
Let’s save the quarterly data to a CSV!
Let’s say we would like get a weekly time series. Since our data is a monthly one, there will be rows with empty values if we change the frequency. There are several methods that we can employ here to fill this empty values:
teenagers young_adults adults seniors total_unemployment
date
2024-07-07 13.2 8.1 3.8 3.3 28.4
2024-07-14 13.2 8.1 3.8 3.3 28.4
2024-07-21 13.2 8.1 3.8 3.3 28.4
2024-07-28 13.2 8.1 3.8 3.3 28.4
2024-08-04 14.1 8.0 3.7 3.1 28.9
Let’s get the year-on-year change for young adults age group.
unemp_data['ya_YoY_pctchange'] = unemp_data['young_adults'].pct_change(periods=12) # multiply by 100 to get the %
print(unemp_data.tail()) teenagers young_adults adults seniors total_unemployment \
date
2024-04-01 10.4 6.0 3.0 2.8 22.2
2024-05-01 12.1 8.0 3.1 2.5 25.7
2024-06-01 14.4 8.2 3.5 2.9 29.0
2024-07-01 13.2 8.1 3.8 3.3 28.4
2024-08-01 14.1 8.0 3.7 3.1 28.9
ya_YoY_pctchange
date
2024-04-01 0.250000
2024-05-01 0.269841
2024-06-01 0.223881
2024-07-01 0.125000
2024-08-01 0.111111
To capture the direction and magnitude of changes in unemployment rate each month, use diff() function.
Pandas is built on top of NumPy and integrates well with Matplotlib, so it is super easy to plot data right away—especially now that we’ve set the index!
Change the frequency of the time series to weekly, and interpolate the numbers. Save this new series into unemp_weekly_interpolate
teenagers young_adults adults seniors total_unemployment \
date
2024-07-07 13.1 6.6 3.0 2.5 25.2
2024-07-14 13.1 6.6 3.0 2.5 25.2
2024-07-21 13.1 6.6 3.0 2.5 25.2
2024-07-28 13.1 6.6 3.0 2.5 25.2
2024-08-04 13.1 6.6 3.0 2.5 25.2
ya_YoY_pctchange changes_ya
date
2024-07-07 0.015385 -0.5
2024-07-14 0.015385 -0.5
2024-07-21 0.015385 -0.5
2024-07-28 0.015385 -0.5
2024-08-04 0.015385 -0.5
Seaborn is a Python data visualization library based on matplotlib. It provides a high-level interface for drawing attractive and informative statistical graphics. 1
Some setups we can do:
Let’s plot the unemployment rate over the years for each age group!

Clearly, there are some columns that we may want to skip. To do this, we can reshape the data shape into long format using melt().
Let’s say we only want to visualize teenagers and young_adults.
1youth_data = unemp_data[['teenagers', 'young_adults']]
2youth_data = youth_data.reset_index()
3youth_data_melted = youth_data.melt(id_vars='date', value_vars=['teenagers', 'young_adults'], var_name='age_group', value_name='unemployment_rate')Check out the difference!
Wide Data
teenagers young_adults
date
1948-01-01 10.1 6.6
1948-02-01 11.5 8.0
1948-03-01 10.8 8.6
1948-04-01 8.8 6.8
1948-05-01 6.9 6.3
... ... ...
2024-04-01 10.4 6.0
2024-05-01 12.1 8.0
2024-06-01 14.4 8.2
2024-07-01 13.2 8.1
2024-08-01 14.1 8.0
[920 rows x 2 columns]
Long Data
date age_group unemployment_rate
0 1948-01-01 teenagers 10.1
1 1948-02-01 teenagers 11.5
2 1948-03-01 teenagers 10.8
3 1948-04-01 teenagers 8.8
4 1948-05-01 teenagers 6.9
... ... ... ...
1835 2024-04-01 young_adults 6.0
1836 2024-05-01 young_adults 8.0
1837 2024-06-01 young_adults 8.2
1838 2024-07-01 young_adults 8.1
1839 2024-08-01 young_adults 8.0
[1840 rows x 3 columns]
We can now fit the things we want in a single line like so:
With DateTime object as the index, we can easily capture the month info. This would be useful to see whether certain months tend to have higher unemployment rate based on this data.
teenagers young_adults adults seniors total_unemployment \
date
1948-01-01 10.1 6.6 3.0 3.6 23.3
1948-02-01 11.5 8.0 3.6 4.0 27.1
1948-03-01 10.8 8.6 3.2 3.5 26.1
1948-04-01 8.8 6.8 3.2 3.2 22.0
1948-05-01 6.9 6.3 2.6 2.9 18.7
ya_YoY_pctchange changes_ya month
date
1948-01-01 NaN NaN 1
1948-02-01 NaN 1.4 2
1948-03-01 NaN 0.6 3
1948-04-01 NaN -1.8 4
1948-05-01 NaN -0.5 5
Let’s calculate the average unemployment rate for each month based on this data.
teenagers young_adults adults seniors total_unemployment \
month
1 16.612987 10.276623 5.159740 4.264935 36.314286
2 16.648052 10.207792 5.135065 4.290909 36.281818
3 15.977922 9.727273 4.905195 4.138961 34.749351
4 15.248052 9.076623 4.589610 3.902597 32.816883
5 15.981818 9.262338 4.322078 3.631169 33.197403
6 19.632468 9.836364 4.367532 3.646753 37.483117
7 16.216883 9.293506 4.528571 3.781818 33.820779
8 14.025974 8.961039 4.501299 3.703896 31.192208
9 15.543421 8.925000 4.292105 3.468421 32.228947
10 15.027632 8.500000 4.178947 3.432895 31.139474
11 15.502632 8.493421 4.297368 3.618421 31.911842
12 14.502632 8.522368 4.430263 3.686842 31.142105
ya_YoY_pctchange changes_ya
month
1 0.023639 1.802632
2 0.027765 -0.068831
3 0.023718 -0.480519
4 0.056689 -0.650649
5 0.053468 0.185714
6 0.040224 0.574026
7 0.043577 -0.542857
8 0.035135 -0.332468
9 0.033654 -0.048684
10 0.035276 -0.425000
11 0.028284 -0.006579
12 0.024550 0.028947
Which month seems to have the highest unemployment rate on average?
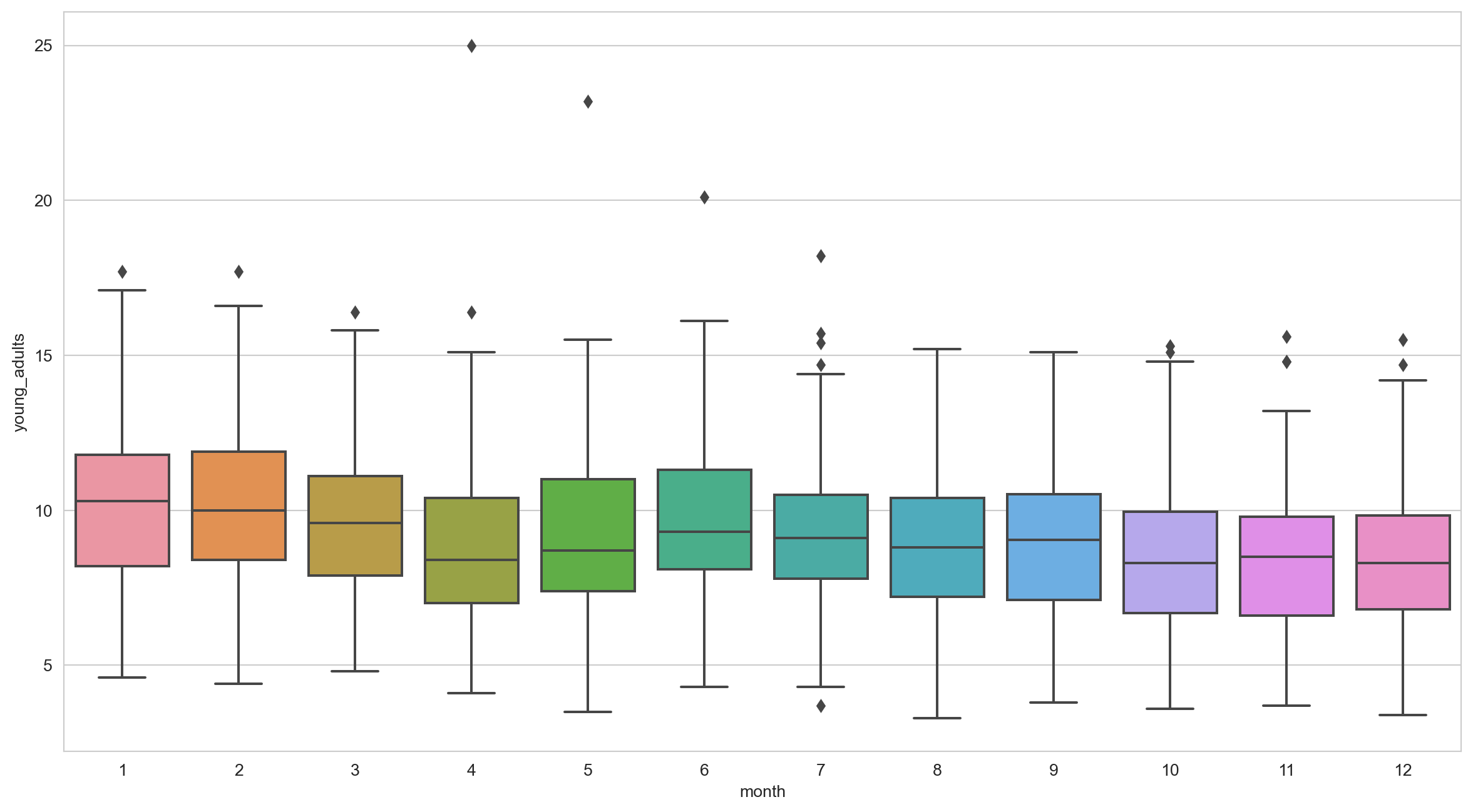
Let’s see how unemployment rate fared each month for young_adults. Are there any outliers?
Seaborn can do many other visualizations as well. For example, let’s try plotting a scatterplot of young_adults and seniors
Let’s try plotting a regression plot of young_adults and seniors
Plot the unemployment rate fared each month for young_adults with violin plot to see the distribution better.
We have covered pandas and Seaborn!